Ibbit
  • Communities
  • Create Post
  • Create Community
  • heart
    Support Lemmy
  • search
    Search
  • Login
  • Sign Up
rssMB to Phys.orgEnglish · 11 hours ago

Second exoplanet discovered in the TOI-1422 system

phys.org

external-link
message-square
0
link
fedilink
1
external-link

Second exoplanet discovered in the TOI-1422 system

phys.org

rssMB to Phys.orgEnglish · 11 hours ago
message-square
0
link
fedilink
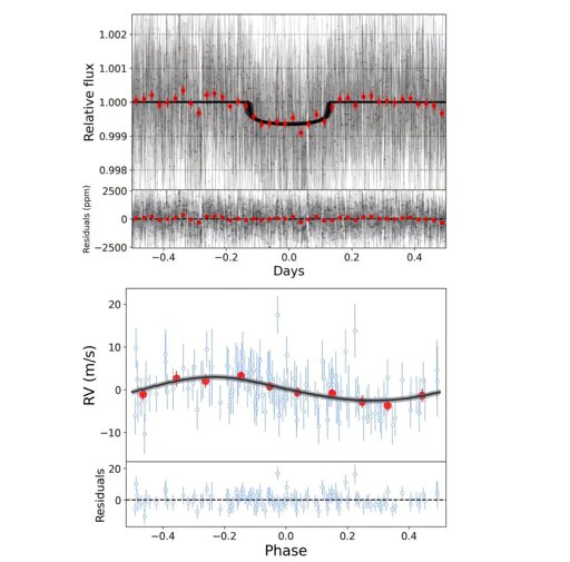
European astronomers report the discovery of a second alien world in the TOI-1422 planetary system located some 500 light years away. The newfound exoplanet, which received designation TOI-1422 c, is nearly three times larger and about 14 times more massive than Earth. The discovery was presented in a research paper published Nov. 14 on the arXiv pre-print server.

From Phys.org - latest science and technology news stories via this RSS feed

alert-triangle
You must log in or # to comment.

Phys.org

phys

Subscribe from Remote Instance

You are not logged in. However you can subscribe from another Fediverse account, for example Lemmy or Mastodon. To do this, paste the following into the search field of your instance: !phys@ibbit.at
lock
Community locked: only moderators can create posts. You can still comment on posts.

Phys.org internet news portal provides the latest news on science including: Physics, Nanotechnology, Life Sciences, Space Science, Earth Science, Environment, Health and Medicine.

Visibility: Public
globe

This community can be federated to other instances and be posted/commented in by their users.

  • 7 users / day
  • 10 users / week
  • 17 users / month
  • 60 users / 6 months
  • 1 local subscriber
  • 18 subscribers
  • 4.6K Posts
  • 14 Comments
  • Modlog
  • mods:
  • admin
  • rss
  • paywall
  • BE: 0.19.12
  • Modlog
  • Instances
  • Docs
  • Code
  • join-lemmy.org