Ibbit
  • Communities
  • Create Post
  • Create Community
  • heart
    Support Lemmy
  • search
    Search
  • Login
  • Sign Up
rssMB to Phys.orgEnglish · 22 hours ago

Estimating stellar-mass compact object accretion in AGN disks with a new method

phys.org

external-link
message-square
0
link
fedilink
1
external-link

Estimating stellar-mass compact object accretion in AGN disks with a new method

phys.org

rssMB to Phys.orgEnglish · 22 hours ago
message-square
0
link
fedilink
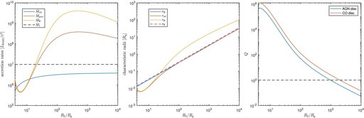
A research team from the Yunnan Observatories of the Chinese Academy of Sciences (CAS), in collaboration with other researchers, has developed a new method to estimate how stellar-mass compact objects (COs)—including black holes, neutron stars, and white dwarfs—accrete matter within active galactic nucleus (AGN) disks. This work provides new insights into the evolution of these objects in extreme cosmic environments.

From Phys.org - latest science and technology news stories via this RSS feed

alert-triangle
You must log in or # to comment.

Phys.org

phys

Subscribe from Remote Instance

You are not logged in. However you can subscribe from another Fediverse account, for example Lemmy or Mastodon. To do this, paste the following into the search field of your instance: !phys@ibbit.at
lock
Community locked: only moderators can create posts. You can still comment on posts.

Phys.org internet news portal provides the latest news on science including: Physics, Nanotechnology, Life Sciences, Space Science, Earth Science, Environment, Health and Medicine.

Visibility: Public
globe

This community can be federated to other instances and be posted/commented in by their users.

  • 4 users / day
  • 9 users / week
  • 20 users / month
  • 65 users / 6 months
  • 1 local subscriber
  • 18 subscribers
  • 5.21K Posts
  • 15 Comments
  • Modlog
  • mods:
  • admin
  • rss
  • paywall
  • BE: 0.19.12
  • Modlog
  • Instances
  • Docs
  • Code
  • join-lemmy.org